您好!欢迎来到无锡市国磁电子有限公司

国磁

您当前所在位置:首页 > 新闻中心 > 新闻资讯

栏目导航

联系我们

咨询热线:
0510-83788662

手机:15852838880

邮箱:guocidianzi@163.com

QQ:593515999

地址:江苏省无锡市新吴区硕放杨家湾一路8号03A

如果计算电感器的电阻?
发布日期:2025-05-12


图 1. 电感中的 Q 因数

电感器只能在完美的纯电感器中具有其电感值。然而,与此标称电感值一起,固定和可变电阻和寄生电容也将存在于功能电感器中,这将降低电感效率。通过包括此寄生电阻和电容值,品质因数或 Q 因数用于测量电感器的效率。Q 因子是一个一致性计算参数,它在实际应用中定义了有关其损耗和性能的“电感器质量”。让我们深入探讨这种寄生电阻和电容。




(DCR 或 RDC)直流电阻
无论是磁环(环形)共模电感,磁棒电感,UU滤波器共模电感,工字电感在制造过程中缠绕在磁芯材料上的线圈具有一些内阻,会引入“直流电阻”以及标称电感值。设计人员可以在制造商数据表的“DCR”或“RDC”列中接收此电阻数据。电感器的直流电阻值取决于导线长度和用于绕组阶段的导线比例。如果需要的电感值较高,则需要绕更多匝并使用更长的导线,这有助于提高直流电阻(图1给出了不同导线尺寸和长度的电阻值的详细信息)。根据工作电流,制造电感器并针对指定应用使用相应的线圈尺寸。电阻值也取决于电线尺寸。直径较大的线圈产生的直流电阻低于直径较小的线圈,但频率相关参数在用直径较短的线圈替换较大的线圈直径方面起着重要作用。

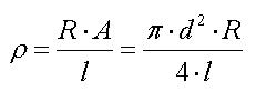
注:如何计算铜线的电阻?
工程师经常问如何计算电缆的电阻,有一个非常简单的公式,效果很好:


其中
R是以欧姆为单位的导体电阻
l是以米为单位的导体长度
ρ是导体的电阻率(也称为比电阻)。
A是横截面积,单位为平方毫米
π是数学常数
d是导线的标称直径,单位为毫米
合作站点:电晕处理机